[Click Here for Patents]
2025
36. Choi, H. J.; Lim, J.; Kim, H.; Seo, D.; Chang, Y. Curable Composition and Optical Material. U.S. Patent 12,371,533, 2025.
35. Minjeong Kang, Wontae Jang, Junghyun Lee, Sanghyun Kim, Gyuwon Lee, Keonwoo Choi, Jun Oh Kim, Zahyun Ku, Junhyoung Ahn, Hyungjun Lim, Jeewoo Lim, Jeong Jae Wie,* Sung Gap Im,* “A Thermally Stable, Infrared-Transparent High-Sulfur-Containing Polymer for High Aspect-Ratio Nanostructured MWIR Polarizer” Small 2025, 21 (27), 2504090
34. Hyunjoo Seo, Jihyeon Heo, Jay Ryu, Chi Sup Ahn, Youjin Song, Byungjin Koo,* Jeewoo Lim,* “Stimuli-responsive polystyrene derivative for a turbidity-based detection of a nerve agent mimic” Macromol. Res. 2025, 33, 39-48.
2024
33. Youjin Song, Donghyeon Lee, Hyunjoo Seo, Jeewoo Lim,* Byungjin Koo,* “Amine detection via PDMS swelling in CNT/PDMS strain sensors” Macromol. Res. 2024, 32, 751–756.
32. Yujin Jeon, Chi Sup Ahn, Kookheon Char,* Jeewoo Lim,* “Size Control and Antioxidant Properties of Sulfur-Rich Polymer Colloids from Interfacial Polymerization” Macromol. Rapid Commun. 2024, 45, 2300747.
2023
31. Wontae Jang, Keonwoo Choi, Minjeong Kang, Soohye Park, Do Heung Kim, Junhyoung Ahn, Hyungjun Lim, Kookheon Char, Jeewoo Lim,* Sung Gap Im,* “Visible, Mid- and Long-Wave Infrared Transparent Sulfur-Rich Polymer with Enhanced Thermal Stability” Chem. Mater. 2023, 35, 8181−819.
30. Yujin Jeon, Jisung Choi, Donghwa Seo, Soon Hwa Jung, Jeewoo Lim,* “Low birefringence and low dispersion aliphatic thermosets with a high and tunable refractive index” Polym. Chem. 2023, 14, 1117-1123.
2022
29. Keonwoo Choi, Wontae Jang, Wonseok Lee, Ji Sung Choi, Minjeong Kang, Jihan Kim, Kookheon Char, Jeewoo Lim,* Sung Gap Im,* “Systematic Control of Sulfur Chain Length of High Refractive Index, Transparent Sulfur-Containing Polymers with Enhanced Thermal Stability” Macromolecules 2022, 55, 7222-7232.
28. Sanghoon Song, Yohan Chang, Seung-Hwan Oh, Soyoon Kim, Seungsoo Choi, Seyoung Kim, Jin-Kyun Lee, Soo-Hyung Choi,* Jeewoo Lim,* “Fluorous Dispersion Ring-Opening Metathesis Polymerization” Macromolecules 2022, 55, 1515-1523.
27. Gue Seon Lee, Hyo Won Lee, Hyun Sub Lee, Taeyang Do, Jean-Louis Do, Jeewoo Lim, Gregory I. Peterson,* Tomislav Friščić,* Jeung Gon Kim,* “Mechanochemical ring-opening metathesis polymerization: development, scope, and mechano-exclusive polymer synthesis” Chem. Sci. 2022, 13, 11496
26. Sangwoo Park, Minju Chung, Alexandros Lamprou, Karsten Seidel, Sanghoon Song, Christian Schade, Jeewoo Lim,* Kookheon Char,* “High Strength, Epoxy Cross-Linked High Sulfur Content Polymers from One-Step Reactive Compatibilization Inverse Vulcanization” Chem. Sci. 2022, 13, 566-572.
2021
25. Wontae Jang, Keonwoo Choi, Ji Sung Choi, Do Heung Kim, Kookheon Char, Jeewoo Lim,* Sung Gap Im,* “Transparent, Ultrahight-Refractive Index Polymer Film (n ~ 1.97) with Minimal Birefringence (Δn < 0.0010)” ACS Appl. Mater. Interfaces 2021, 13, 61629-61637.
[Link]
24. Kyungrae Kim, Donghwa Seo, Dowan Kim, Jeewoo Lim,* “Visible Light Induced Solubility Modulation of Polynorbornene Bearing Bridged 1,2-Diketones.” Asian J. Org. Chem. 2021, 10, 1081-1084.
2020
23. Seyoung Kim, Yunshik Cho, Jee Hyun Kim, Sanghoon Song, Jeewoo Lim, Soo-Hyung Choi,* Kookheon Char,* “Structural Analysis of Bottlebrush Block Copolymer Micelles Using Small-Angle X-Ray Scattering.” ACS Macro Lett. 2020, 9, 1261-1266.
22. Do Heung Kim, Wontae Jang, Keonwoo Choi, Ji Sung Choi, Jeffrey Pyun, Jeewoo Lim,* Kookheon Char,* Sung Gap Im,* “One-Step Vapor-Phase Synthesis of Transparent High Refractive Index Sulfur-Containing Polymers.” Sci. Adv. 2020, 6, eabb5320.
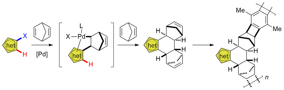
21. Birakishore Padhi, Geunhee Kang, Eunmin Kim, Jeongmin Ha, Hyun Tae Kim, Jeewoo Lim,* Jung Min Joo,* “Pd-Catalyzed C-H Annulation of Five-Membered Heteroaryl Halides with Norbornene Derivatives.” ACS Catalysis 2020, 10, 1792-1798.
2019
20. Donghoi Kim, Dongsoo Jang, Hyunkyu Lee, Jeewoo Lim,* Chinkyo Kim,* “Two-Dimensional Non-Close-Packed Arrays of Polystyrene Microspheres Prepared by Controlling the Size of Polystyrene Microspheres.” Polymer 2019, 185, 121938.
19. Sangwoo Park, Duhwan Lee, Hongkwan Cho, Jeewoo Lim,* Kookheon Char,* “Inverse Vulcanization Polymers with Enhanced Thermal Properties via Divinylbenzene Homopolymerization-Assisted Cross-Linking.” ACS Macro Lett. 2019, 8, 1670-1675.
18. Geon Chang Lee, Donghwa Seo, Junggyu Kim, Abu B Siddique, Hyeonjong Park, Hyun Jun Kim, Ho‐Jung Kang, Jae Yeol Lee, Jeewoo Lim,* Jungahn Kim,* Sehoon Kim, “Cyclic Hydrazide-Functionalized Poly(ethylene oxide) Frameworks for the Synthesis of pH-Cleavable Drug-Carriers and Their Applications for the Stabilization of Gold Nanoparticles.” Macromol. Chem. Phys. 2019, 220, 1900075.
17. Dowan Kim, Donghyo Hahm, Soonhyoung Kwon, Jeewoo Lim,* Kookheon Char,* “Controlled Phase Separation in Poly(p-phenyleneethynylene) Thin Films and Its Relationship to Vapor-Sensing Properties.” Langmuir 2019, 35, 4011-4019.
2018
16. Hyuksoo Shin, Jihee Kim, Dowan Kim, Viet Huu Nguyen, Sangwook Lee, Seunghee Han,* Jeewoo Lim,* Kookheon Char,* “Aqueous “Polysulfide-ene” Polymerization for Sulfur-Rich Nanoparticles and Their Use in Heavy Metal Ion Remediation.” J. Mater. Chem. A 2018, 6, 23542-23549.
15. Yunshik Cho, Youngjin Kim, Tae-Lim Choi,* Jeewoo Lim,* Kookheon Char,* “Swelling-induced Pore Generation in Fluorinated Polynorbornene Block Copolymer Films.” Polym. Chem., 2018, 9, 3536-3542.
14. Jongkuk Ko, Jiyun Song, Won Tae Choi, Tae-Hwan Kim, Young-Soo Han, Jeewoo Lim,* Changhee Lee,* Kookheon Char,* “Significance of Polymeric Nanowire-Network Structures for Stable and Efficient Organic Solar Cells.” Macromol. Res., 2018, 26, 623-629.
13. Hong Bin Yoon, Youra Lee, Donghwa Seo, Saeon Kim, Abu B. Siddique, Jae Yeol Lee, Jeewoo Lim,* Jungahn Kim,* “Michael Addition of Thiol Compounds on ω-Maleate Poly(ethylene oxide)s: Model Study for the “Site-Specific” Modification of Proteins.” Macromol. Res. 2018, 26, 194-203.
Before KHU
12. Suyong Shin, Florian Menk, Youngjin Kim, Jeewoo Lim, Kookheon Char, Rudolf Zentel, Tae-Lim Choi,* “Living Light-Induced Crystallization-Drive Self-Assembly for Rapid Preparation of Semiconducting Nanofibers.” J. Am. Chem. Soc. 2018, 140, 6088-6094.
11. Suyong Shin,† Jeewoo Lim,† Ming-Long Gu, Chin-Yang Yu, Mooncheol Hong, Kookheon Char,* Tae-Lim Choi,* “Dimensionally Controlled Water-Dispersible Amplifying Fluorescent Polymer Nanoparticles for Selective Detection of Charge-Neutral Analytes.” Polym. Chem. 2017, 8, 7507-7514.
10. Seok Kyu Seo, Hyeonjun Heo, Jeewoo Lim, Kookheon Char,* “Scattering Model for Tetrapods with Cylindrical Arms.” Korean J. Chem. Eng. 2017, 34, 1192-1198.
9. Seok Kyu Seo, Jeewoo Lim, Hyemin Lee, Hyeonjun Heo, Kookheon Char,* “Controlled Spatial Distribution of CdSe Tetrapod Nanocrystals within Polystyrene Block Copolymer Micelles.” Polymer 2016, 99, 399-403.
8. Yeonju Lee, Jeffrey Pyun, Jeewoo Lim,* Kookheon Char,* “Modular Synthesis of Functional Polymer Nanoparticles from a Versatile Platform Based on Poly(pentafluorophenylmethacrylate).” J. Polym. Sci. A. Polym. Chem. 2016, 54, 1895-1901. [Highlight Article]
7. Jeewoo Lim, Yunshik Cho, Eun-Hye Kang, Sanghee Yang, Jeffrey Pyun, Tae-Lim Choi,* Kookheon Char,* “A One-Pot Synthesis of Polysulfane-Bearing Block Copolymer Nanoparticles with Tunable Size and Refractive Index.” Chem. Commun. 2016, 52, 2485-2488. [Back Cover]
6. Won Tae Choi, Jiyun Song, Jongkuk Ko, Yeongseon Jang, Tae-Hwan Kim, Young-Soo Han, Jeewoo Lim,* Changhee Lee,* Kookheon Char,* “Effect of Solvent Additives on Bulk Heterojunction Morphology of Organic Photovoltaics and their Impact on Device Performance.” J. Polym. Sci. B. Polym. Phys. 2016, 54, 128-134.
5. Jeewoo Lim, Unho Jung, Won Tae Joe, Eui Tae Kim, Jeffrey Pyun,* Kookheon Char,* “High Sulfur Content Polymer Nanoparticles Obtained from Interfacial Polymerization of Sodium Polysulfide and 1,2,3-Trichloropropane in Water.” Macromol. Rapid Comm. 2015, 36, 1103-1107.
4. Yeonju Lee, Sadaf Hanif, Patrick Theato, Rudolf Zentel, Jeewoo Lim,* Kookheon Char,* “Facile Synthesis of Fluorescent Polymer Nanoparticles from the Covalent Modification-Nanoprecipitation of Amine-Reactive Ester Polymers.” Macromol. Rapid Comm. 2015, 36, 1089-1095.
3. Jeewoo Lim, Jeffrey Pyun,* Kookheon Char,* “Recent Approaches for the Direct Use of Elemental Sulfur in the Synthesis and Processing of Advanced Materials.” Angew. Chem. Int. Ed. 2015, 54, 3249-3258.
2. Yossi Weizmann, Jeewoo Lim, David Chenoweth, Timothy M. Swager,* “Regiospecific Synthesis of Au-Nanorod/SWCNT/Au-Nanorod Heterojunctions.” Nano Lett., 2010, 10, 2466-2469.
1. Jeewoo Lim and Timothy M. Swager,* “Fluorous Biphase Synthesis of a Poly(p-phenyleneethynylene) and its Fluorescent Aqueous Fluorous Phase Emulsion.” Angew. Chem. Int. Ed. 2010, 49, 7486-7488.










